光纤布拉格光栅(FBG)原理及应用
光纤布拉格光栅(FBG)原理及应用
1. 什么是光纤布拉格光栅(FBG)?
光纤布拉格光栅(Fiber Bragg Grating,简称FBG)。布拉格条件是一种物理现象,其表示当光波在周期性结构中传播时,特定波长的光波会被强烈反射的条件。这一条件是由威廉 劳伦斯 布拉格(William Lawrence Bragg)爵士在X射线晶体学研究中发现的,因此得名“布拉格条件”。
由于光纤布拉格光栅的工作原理正是基于布拉格条件,即特定波长的光波在周期性折射率变化的光纤中被强烈反射,因此被命名为“光纤布拉格光栅”。
2. 光纤布拉格光栅(FBG)的原理
光纤布拉格光栅不同于平面光栅,属于光纤光栅的一种,通过利用全息干涉技术或相位掩膜技术,将单模光纤纤芯横向暴露在具有周期性图案的强紫外光下,此过程中,强紫外光的的曝光会永久性改变光纤纤芯的折射率,根据曝光图案产生固定的折射率调制,这种固定的折射率调制被称为光栅。
当光栅周期约为入射光波长的一半时,所有反射光相干组合成一束具有特定波长的反射光,这被称为布拉格条件。实现入射光发生反射的波长被称为布拉格波长。其他波长的光信号几乎不受布拉格光栅影响,将透过光纤光栅继续传输。
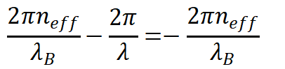
那么我们如何得到布拉格波长的值呢?我们可以通过动量与能量守恒定理进行推导。设布拉格波长为(即反射光波长),根据能量守恒:

式中h为普朗克常量,v为光信号频率,要求入射光频率vr和反射光vi频率(满足布拉格条件的光)相同。

要求入射波矢量Pi与光栅波矢量P之和等于反射波矢量Pf由于动量大小为h/λ,入射光和反射光的波长一致(满足布拉格条件的光)所以反射波矢量Pf和入射波矢量Pi大小相等方向相反,而光栅的波矢量为幅值大小为所以动量守恒条件可以改写为2π/ Λ,因此动量守恒条件可以写为如下:

化简可得:

即:

由于布拉格光栅对环境因素十分敏感,可以通过监测布拉格波长的变化从而实现对温度、应变等环境因素的传感监控。
3. 光纤布拉格光栅(FBG)的应用
由于布拉格光栅的独特的高精度、稳定性、小型化以及对电磁干扰的免疫能力,已经在多个领域展现出巨大的应用潜力。
传感器应用
FBG作为传感器的核心组件,可以用于测量温度、压力、应变、加速度等多种物理参数。在土木工程中,FBG传感器被用来监测桥梁、大坝和建筑物的结构健康状况;在石油和天然气行业中,它们用于监控管道的应力和温度变化;在航空航天领域,FBG传感器可以集成到飞机结构中,以实时监测飞行过程中的应力分布。
航空航天与国防
FBG传感器可以嵌入飞机、火箭和其他飞行器的结构中,实时监测应力分布,保证飞行安全,可以用于构建智能围栏和入侵检测系统,提升军事基地和关键设施的安全防护。
.
制造业与能源
FBG传感器可以集成到智能工厂的设备中,实现对生产过程的实时监控,优化生产效率和质量控制;能源行业:在风电、太阳能和核能等能源设施中,可以用于监测设备运行状态,预防故障发生。
4. Hirundo 解决方案
华瑞高能够为您提供多种解决方案应用于不同场景,欢迎随时联系我们!
波长稳定激光器
FBG可以作为激光器腔内的反射镜,提供波长选择性反馈,从而实现单波长激光输出,对于波长稳定的激光源至关重要。

色散补偿
啁啾(Chirped)FBG可以用于补偿光通信系统中的色散效应,使高速数据信号在长距离传输后仍保持清晰。
滤波器和开关
FBG可用作波长选择性滤波器或开关,在密集波分复用(DWDM)系统中起到关键作用,提高网络容量和灵活性。


